湖南湘潭长丰左氏宗族网



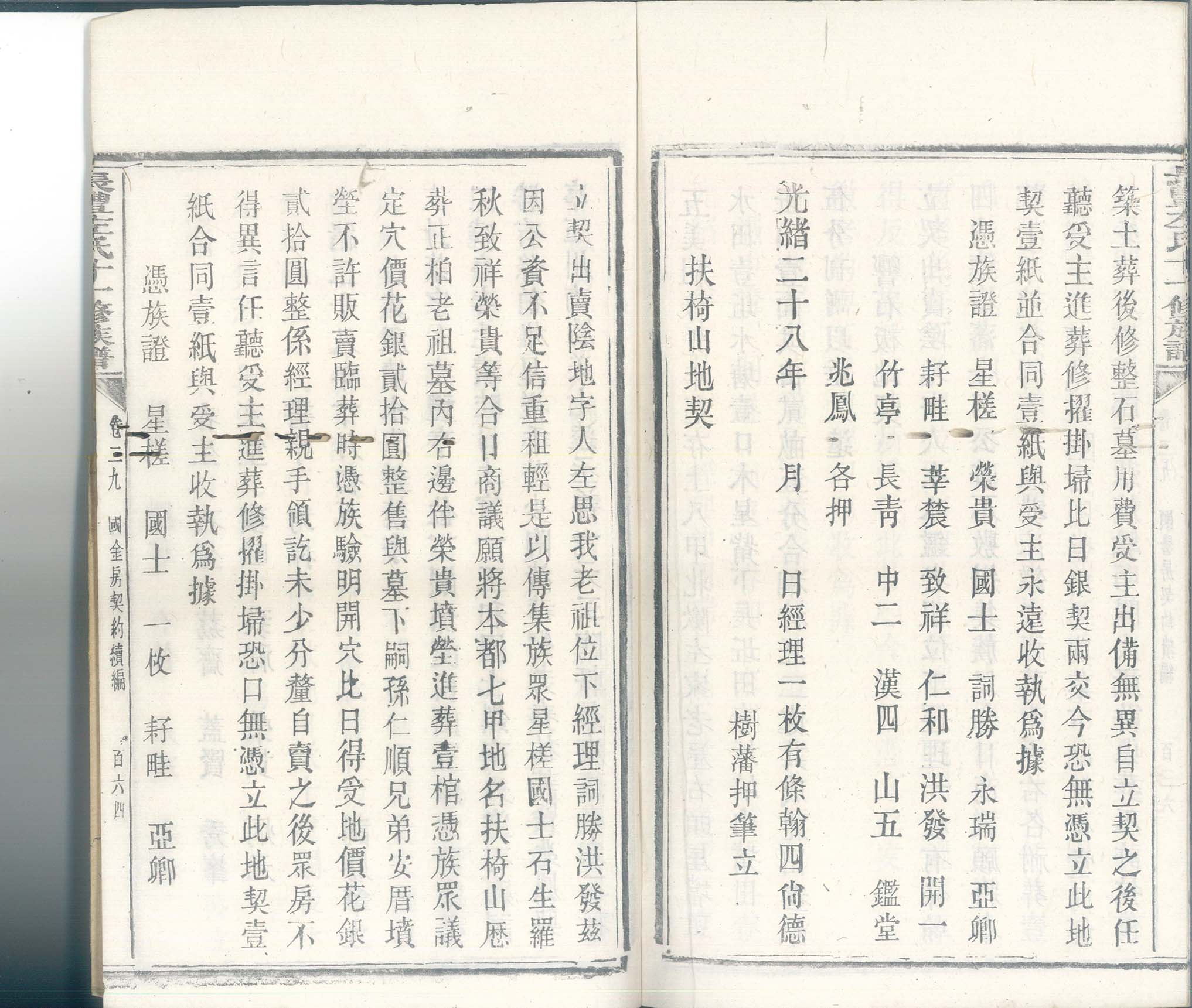
湘潭长丰左氏十一修家譜: 第29卷,第165页,共166页

next pre
指定页:

 光绪二十八年(1902)十一修共30本,在十三修谱工作委员会的努力下,全部找齐并完成扫描,族谱原件由左宗良副主任的亲弟弟左宗斌提供,左勇提供扫描文件,左宗来整理发布到网上,并开发查看网页,现免费公开给宗亲查询。 以下是全部30卷的链接:

Copyright © 2019 - 2025 中华左氏家谱网
备案序号:湘ICP备13011470号-1,开发:左宗来
免责声明:本系统不保存隐私信息,所有用户录入的信息都视为用户自己愿意公开的信息。
如有异议,请发邮件到:admin@zuohome.com 申请删除。